研究内容

2017.12.19更新

生命体が内在するマルチスケールでの多種多様な粒子の集合が、複雑な非線形相互作用の組織化により全体的・協同的に生命機能・知的機能を発揮する機構の理論的・実験的・数学的解明を目指している。生命体とは何か。知能とは何か。そのような問題に対する基礎方程式は存在するのか。 特に、コンピュータや磁気共鳴の手法を用いてアプローチしている。

〇生命とは何か
 生命体の基礎方程式、分子-細胞-組織シミュレーション、理論神経科学
 メタボロミクス、イメージング、オミックス解析、合成生物学

〇磁気共鳴
 NMR、MRI、MR周辺のソフトウェア/ハードウェア開発、脳MRI可視化


例1. 複雑化学ネットワーク理論
物理学者のディラックはご存知でしょうか?ディラックの有名な量子力学の教科書に以下の有名でない公式が書いてあります。この式の数学は理解する必要はありませんので記号の説明は省略します。
 
この式は少し変形すると、どのような1変数関数もHeavisideのステップ関数で展開できるという意味を持ちます。 その意味を図示すると以下のようになります。
 
上式(正確にはそれを変数Xを含むように変形したもの)の意味は、任意の関数(黒線、図ではFだが上式ではR)は、Heavisideのステップ関数(正、赤;負、緑)の積み重ね(和)で表現できるということです。

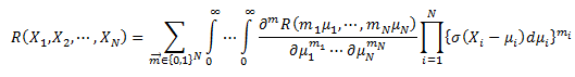
私は同様の関係式を、なぜか生物の問題を考えている時、即ち、生化学ネットワークがニューラルネットワークと同様の可塑性を持つという仮説を考察している時、に独立で見出しました。よくあることですが、ずいぶん後で、この式がディラックの本に載っていることを知りました。(ちなみに、生化学ネットワークがニューラルネットワークと同様の可塑性を持つという仮説自体も、英国生物学者のDennis Brayによって1995年に提唱されていることを後で知りました。)元々、生化学ネットワークでは1変数では非力であったため、 私はこの公式を多変数に拡張し、数学的な証明も与えることに成功、 出版することができました。この公式は今まで発見されていませんでした。 その公式は以下です。この式の数学も理解する必要はありませんので記号の説明は省略します。
 
これは見た目は恐ろしいですが、近似表現にすると多重積分も偏微分記号も消え、以下のように簡単になります。 この式の数学も理解する必要はありませんので記号の説明は省略します。
 
これは単なるsの線形結合です。sはシグモイド型関数(の多変数の直積)です。これは先の図の多変数用一般化になっており、 一見、線形のように見えますが、sが階段状の非線形性を持つため、どのような非線形多変数関数でも図のようにΣで積み重ねて 表現することができるのです。例えば、シグモイド型を持つHill式をsに当てはめると、複雑な化学反応ネットワークを Hill式で分解して表現したことになります。このような公式は、Sorribasらによって2007年に導出されていました。しかし、 その導出には、テーラー展開による近似を用いた欠点がありました。私の方法では、テーラー展開を用いる必要がないため、 その欠点は解決されました。

この公式は、大規模な生化学ネットワーク解析に役立つ可能性のある公式で、 原理的には、どのような大自由度でも、どんな機能的動態でも表すことのできる公式です。 つまり、生命現象に現れるような、極めて複雑な非線形化学反応動態でも表現できるのです。 この式のすごい所は、全ての項がHill式などのシグモイド型の線形結合で表現されている所です。そのため、原理的・現象論的には、 物理・化学的に合成できることを意味しています。この公式の証明の意味することは、生命現象のような極めて大多数の分子が関わる複雑な 非線形動態さえも、うまくシグモイド型の化学反応を持つ分子を混ぜ合わせれば合成可能であることの数学的証明なのです。この 証明は、Sorribasの方法を経て、私の方法で完成したと言えます。 この考えは原稿化されており、改良しながら、査読付き論文誌に投稿を続けています。 原稿の古い版はプレプリントサーバーに置いてありますので興味のある方はどうぞ。 ただ、この版では、Sorribasの研究結果を知らなかったため、私が初、というのが誇張されています、気を付けてください。 Sorribasの重要な結果の存在は、論文投稿先の査読者に教えていただきました。

上記の公式は、現実的には、注意することはいろいろあります。それは、 空間を考慮していないこと、現象論であることです。チューリングパターンやパルス発生などは自由なパターン設計とはみなせませんので、 空間的に複雑なパターンをあたかも設計したかのように実現する方法はまだ発見されていません。生物は空間パターンの 協同現象や相関が極めて重要な意味を持っているため、そのような手法の開発は将来の課題です。

「生命とは何か?」これは生物学者の永遠のテーマともいえます。私は生物物理学者ですので、「生命体とは何か?」といいかえることにします。 生命体という言葉はあまり使われませんが、生命、あるいは生物の物体的側面のことをいいます。「生命体とは何か?」という問いの本質は、 シュレーディンガーの著した「生命とは何か」の副題である、物理的にみた生細胞、あるいは、生物物理学者和田昭允先生の著作「生命とは?物質か!」の題 にある、生命体とただの物体に違いはあるのかないのか?である と思います。私は、和田先生の孫弟子で(曽田邦嗣先生の弟子)、「生命とは何か?」と いうテーマを、きっと重要視しておられたのではなかろうか、と嬉しく思っています。 ところで、「生命体とは何か?」という基礎研究は、総本山であるはずの生物物理学会でさえ、 あまり本気で研究している人がいないことは少し残念です。

近年、生命現象のかなりの部分が、分子の作用で説明できるようになりました。 もし、全てを説明できたら、「生命体とは分子の集合である」が答えなのでしょうか? それはまだ誰にも分かりませんが、今まで、学生時代から20年以上この問題を考え、研究も進めてきましたが、 今の所「分子の集合である」を否定する根拠、即ち、「単なる物体」との違いの明確な根拠を見出せません。 このことは、今の所は、細胞や生命は人工的に一から合成できると考えていることになります。




例2. 脳MRI可視化
Microsoft社のHololensというMR(Mixed Reality)デバイスが2017年に日本で発売開始されました。 MRとは複合現実=仮想現実(VR)+拡張現実(AR)のことです。このHololens内で、ヒト脳の3次元MRIデータ を可視化するアプリを開発しました。ちなみにMRIのMRは磁気共鳴のことです。


他にもいろいろありますが、詳しい内容を紹介する時間が取れ次第、徐々に更新・追加してゆく予定です。


所属卒研生の研究テーマ(抜粋・概略)

細胞シミュレーション専用機の試作
細胞の3次元シミュレーション
多次元NMR解析システムSpinAssignの改良
NMRを用いた食品成分の分析
食品NMR解析ウェブツールの開発
顕微鏡写真の画像抽出プログラムの開発
Page Top